GS1A
FEATURES
- ldeal for surface mounted applications
- Low leakage current
- Glass passivated junction
SMA(DO-214AC)
MECHANICAL DATA
- Case: Molded plastic
- Epoxy: UL 94V-0 rate flame retardant
- Terminals: Solder plated, solderable per
MIL-STD-750, Method 2026
- Polarity: As marked
- Mounting position: Any
- Weight: 0.064 gram
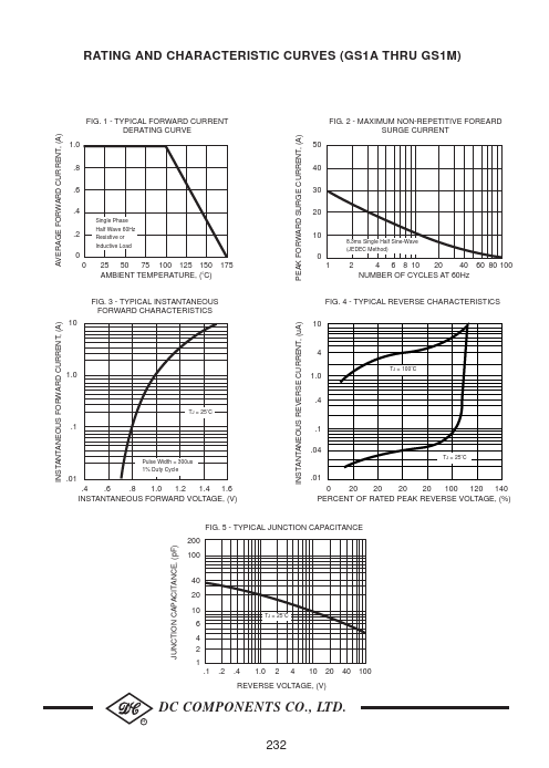
MAXIMUM RATINGS AND ELECTRICAL CHARACTERISTICS Ratings at 25 o C ambient temperature unless otherwise specified. Single phase, half wave, 60 Hz, resistive or inductive load. For capacitive load, derate current by 20%.
.062(1.60) .055(1.40)
.181(4.60) .157(4.00)
.114(2.90) .098(2.50)
.096(2.44)
.078(2.00) .060(1.52)
.030(0.76)
.012(0.305) .006(0.152)
.208(5.28) .188(4.80)
.008(0.203) .002(0.051)
Dimensions in inches and (millimeters)
Maximum Recurrent Peak Reverse Voltage Maximum RMS Voltage Maximum DC Blocking Voltage Maximum Average Forward Rectified Current at TA = 100o C Peak Forward Surge Current IFM(surge): 8.3 ms single half sine-wave superimposed...