• Part: MCAC60A
  • Description: 20V/60A Dual N-Channel MOSFET
  • Category: MOSFET
  • Manufacturer: MLS Microelectronics
  • Size: 1.18 MB
Download MCAC60A Datasheet PDF
MLS Microelectronics
MCAC60A
MCAC60A is 20V/60A Dual N-Channel MOSFET manufactured by MLS Microelectronics.
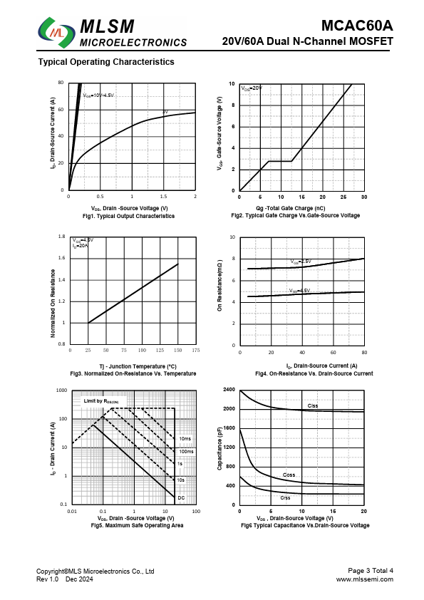
Features - High density cell design for ultra low Rdson - Fully characterized avalanche voltage and current - Good stability and uniformity with high EAS - Excellent package for good heat dissipation Application - Load switching - Hard switched and high frequency circuits - Uninterruptible power supply D1 D1 D2 D2 20V/60A Dual N-Channel MOSFET Product Summary VDS 20V RDS(ON) MAX 7mΩ@4S.15VD2 9mΩ@D12.5V ID MAX 60A PDFN5X6-8L view Schematic diagram MLS XXXX MCAC60A : Device code XXXX : Code S1 G1 S2 G2 Marking and pin...