• Part: MT1D08A
  • Description: N-Channel MOSFET
  • Category: MOSFET
  • Manufacturer: MLS Microelectronics
  • Size: 533.02 KB
Download MT1D08A Datasheet PDF
MLS Microelectronics
MT1D08A
MT1D08A is N-Channel MOSFET manufactured by MLS Microelectronics.
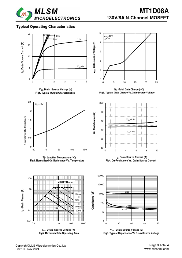
Features - Trench Power LV MOSFET technology - High Density Cell Design for Low RDS(ON) - High Speed switching 130V/8A N-Channel MOSFET Product Summary RDS(ON) TYP 130V 110mΩ@S11 0DV2 8A 130mΩD@1 4.5V Application - Load Switch - Isolated DC/DC convertor 1D08A MLSM XXXX 1D08A: Device code XXXX: Code SOT-223 top view Schematic diagram Marking and pin assignment Absolute Maximum Ratings (TA=25℃unless otherwise noted) Symbol Parameter mon Ratings (TC=25°C Unless Otherwise Noted) Drain-Source Breakdown Voltage Gate-Source Voltage Maximum Junction Temperature TSTG Storage Temperature Range Diode Continuous Forward Current Mounted on Large Heat...