Datasheet4U Logo Datasheet4U.com

PCA5N120GD7L - 1200V 150A IGBT

Key Features

  • Low switching power loss.
  • Low switching surge and noise.
  • Advanced field stop technology.
  • Low EMI.
  • Maximum junction temperature 175°C.
  • Qualified according to JEDEC for target.

📥 Download Datasheet

Datasheet Details

Part number PCA5N120GD7L
Manufacturer PARA LIGHT
File Size 374.56 KB
Description 1200V 150A IGBT
Datasheet download datasheet PCA5N120GD7L Datasheet

Full PDF Text Transcription (Reference)

The following content is an automatically extracted verbatim text from the original manufacturer datasheet and is provided for reference purposes only.

View original datasheet text
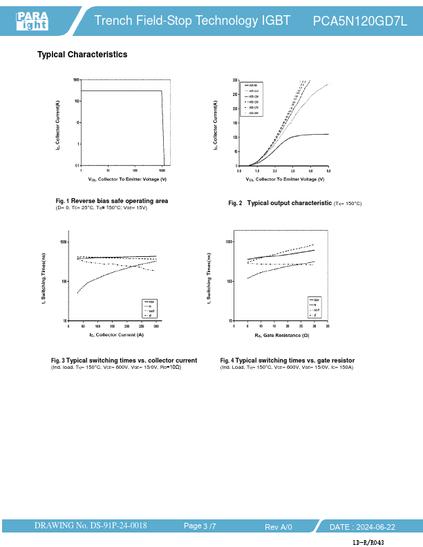
Trench Field-Stop Technology IGBT PCA5N120GD7L 1200V 150A CoolFASTTM 7 Technology IGBT Features:  Low switching power loss  Low switching surge and noise  Advanced field stop technology  Low EMI  Maximum junction temperature 175°C  Qualified according to JEDEC for target applications  Pb-free lead plating, halogen-free mold compound, RoHS compliant Applications:  Industrial UPS  Welding machine  Solar converters  EV charger Key Performance and Package Parameters Type VCE IC VCEsat, Tvj=25°C PCA5N120GD7L 1200V 150A 2.