• Part: BD94130MUF-M
  • Description: Automotive LED Driver
  • Manufacturer: ROHM
  • Size: 3.01 MB
Download BD94130MUF-M Datasheet PDF
ROHM
BD94130MUF-M
BD94130MUF-M is Automotive LED Driver manufactured by ROHM.
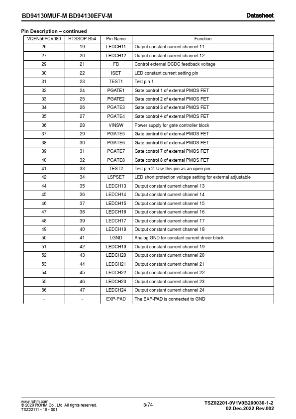
Description BD94130MUF-M/BD94130EFV-M are embedded 24channel constant current drivers with 12bit PWM dimming and max 8-line switch controllers. This device can set LED constant current value by setting external ISET resistor. munication with μ-controller via SPI is feasible. Key Specification - Power Supply Voltage Range: 3.0 V to 5.5 V - LEDCHn Pin Voltage (n = 1 to 24): 20 V - Maximum LED Output Current: 80 m A - Operating Temperature Range: -40 °C to +125 °C Features - AEC-Q100 Qualified(Note 1) - Functional Safety Supportive Automotive Products - Integrated 24-channel LED Constant Current Drivers - Integrated 4/6/8-line Switch Controllers - SPI Interface (Cascade Connection Feasible) - 12bit PWM Dimming - LED Constant Current Setting by ISET Resistor - Phase Shift Function - 6bit Dot Correct (50 % to 100 %) - LED Open Detection and LED Short Detection - Adjacent LEDCH Short Detection - PGATE Short Protection - VINSW Over Voltage Protection - Slew Rate Control for PMOS Gate Driver - Abnormality Output FAILB Pin (Note 1) Grade 1 Package (BD94130MUF-M) VQFN56FCV080 (BD94130EFV-M) HTSSOP-B54 W (Typ) x D (Typ) x H (Max) 8.0 mm x 8.0 mm x 1.0 mm 18.5 mm x 9.5 mm x 1.0 mm VQFN56FCV080 HTSSOP-B54 Application - Cluster, Center Infotainment Display - Other Automotive Backlights Typical Application Circuit DC/DC VINSW...