• Part: DBA200YA40
  • Description: FAST DIODE RECOVERY MODULE
  • Category: Diode
  • Manufacturer: SanRex Corporation
  • Size: 772.95 KB
Download DBA200YA40 Datasheet PDF
SanRex Corporation
DBA200YA40
DBA200YA40 is FAST DIODE RECOVERY MODULE manufactured by SanRex Corporation.
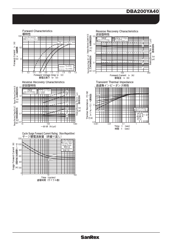
FAST RECOVERY DIODE MODULE ʪFeatures & Advantagesʫ ʪಛ௕ʫ w Fast recovery diode with isolated module w ઈԑ‫ߴܕ‬଎μΠΦʔυϞδϡʔϧ w High speed yet low losses (low VF) using w ΤϐλΩγϟϧ΢Σϋ࠾༻Ͱߴ଎͔ͭ epitaxial wafer ௿ଛࣦʢ௿VFʣΛ࣮‫ݱ‬ɻ w Ultra high speedɹtrrʹ60ns (Typ.) w ௒ߴ଎ɹtrrʹ60nsʢTyp.ʣ w Low leakage currentɹIRʽ6m A (Tj =150ˆ) w ௿‫ྲྀిٯ‬ɹIRʽ6m AʢTj ʹ150ˆʣ w UL recognized under UL File No.E76102 w UL‫֨ن‬औಘɹUL File No.E76102 w EU Ro HS pliantɹ w ԤभRo HSࢦྩద߹ ʪApplicationsʫ w Inverter Welding Machine w Switching Mode Power Supply w Power Supply for Telemunication ʪ༻్ʫ w Πϯόʔλ༹઀‫ػ‬ w εΠονϯάి‫ݯ‬ w ௨৴༻ి‫ݯ‬ 高速ダイオードモジュール П ʶ ʶ ʶ UL; E76102ʢMʣ ʶ ʶ ʵ. ʶ %#" Unit ୯Ґɿmm - Maximum Ratings 最大定格 ʢUnless otherwise specified Tjʹ25ˆ , per one element ʗಛʹ͜ͱΘΒͳ͍‫ݶ‬ΓTjʹ25ˆ ୯ҐΤϨϝϯτ౰Γʣ Symbol ‫߸ه‬ Itemɹ߲ɹ໨ Ratingsɹఆ֨஋ Unit ୯Ґ VRʢDCʣ D.C. Reverse Voltage ௚ྲྀ‫ిٯ‬ѹ Symbol ‫߸ه‬ IFʢAVʣ IFSM I2t Tj Tstg...