FZT948 Overview
SOT223 PNP SILICON PLANAR HIGH CURRENT (HIGH PERFORMANCE) TRANSISTORS ISSUE 2 - NOVEMBER 1995.
FZT948 Key Features
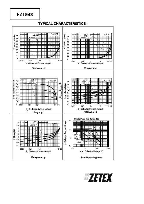
- Extremely low equivalent on-resistance; RCE(sat)
- 6 Amps continuous current
- Up to 20 Amps peak current
- Very low saturation voltage
- Excellent hFE characteristics specified upto 20 Amps
- DEVICE TYPE IN FULL
