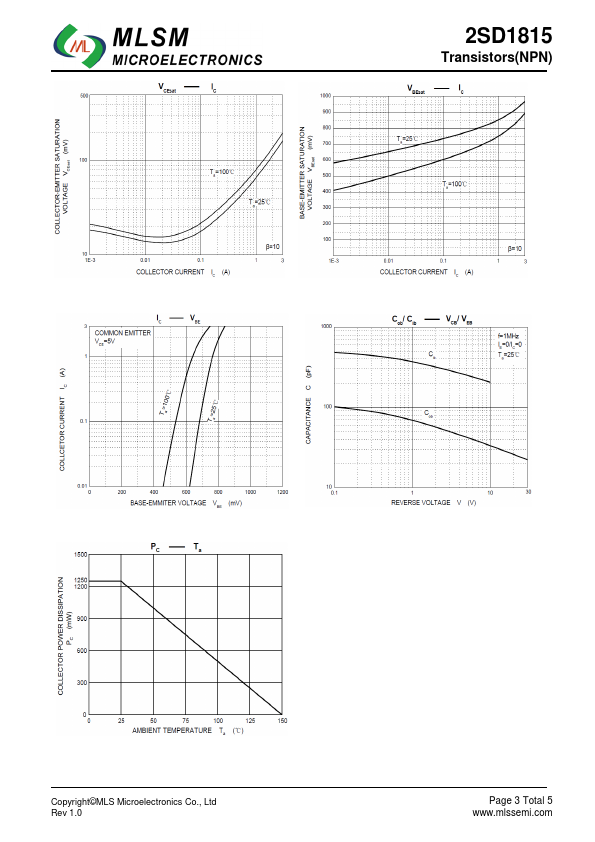
2SD1815 Overview
2.Device mounted on 1 in2 FR-4 board with 2oz. 2SD1815 Transistors(NPN) Copyright©MLS Microelectronics Co., Ltd Rev 1.0 Page 3 Total 5 .mlssemi. 2SD1815 Transistors(NPN) Copyright©MLS Microelectronics Co., Ltd Rev 1.0 Page 4 Total 5 .mlssemi.
2SD1815 Key Features
- Low Collector-to-Emitter Saturation Voltage
- Excllent Linearity of hFE
- High fT
- Fast Switching Time



