• Part: NRVBS360T3G
  • Description: Surface Mount Schottky Power Rectifier
  • Manufacturer: onsemi
  • Size: 210.96 KB
Download NRVBS360T3G Datasheet PDF
onsemi
NRVBS360T3G
NRVBS360T3G is Surface Mount Schottky Power Rectifier manufactured by onsemi.
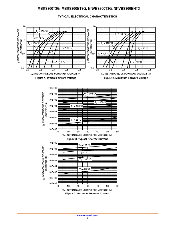
DATA SHEET .onsemi. Surface Mount Schottky Power Rectifier MBRS360T3G, MBRS360BT3G, NRVBS360T3G, NRVBS360BNT3 This device employs the Schottky Barrier principle in a large area metal-to-silicon power diode. State-of-the-art geometry Features epitaxial construction with oxide passivation and metal overlay contact. Ideally suited for low voltage, high frequency rectification, or as free wheeling and polarity protection diodes, in surface mount applications where pact size and weight are critical to the system. Features - Small pact Surface Mountable Package with J-Bend Leads - Rectangular Package for Automated Handling - Highly Stable Oxide Passivated Junction - Excellent Ability to Withstand Reverse Avalanche Energy Transients - Guard-Ring for Stress Protection - NRVBS Prefix for Automotive and Other Applications Requiring Unique Site and Control Change Requirements; AEC-Q101 Qualified and PPAP Capable- - These Devices are Pb-Free, Halogen Free/BFR Free and are Ro HS pliant Mechanical Characteristics - Case: Epoxy, Molded, Epoxy Meets UL 94 V-0 - Weight: 217 mg (Approximately), SMC 95 mg (Approximately), SMB - Finish: All External Surfaces Corrosion Resistant and Terminal Leads are Readily Solderable - Lead and Mounting Surface Temperature for Soldering Purposes: 260 °C Max. for 10 Seconds - Polarity: Polarity Band on Plastic Body Indicates Cathode Lead - Device Meets MSL 1 Requirements - ESD Ratings: - Machine Model, C - Human Body Model, 3B SCHOTTKY BARRIER RECTIFIERS 3.0 AMPERES, 60 VOLTS SMC 2-LEAD CASE 403AC SMB CASE...