Part RTQ6053
Description 36V Bi-Directional Current and Power Monitor
Manufacturer Richtek
Size 915.86 KB
Richtek

RTQ6053 Overview

Description

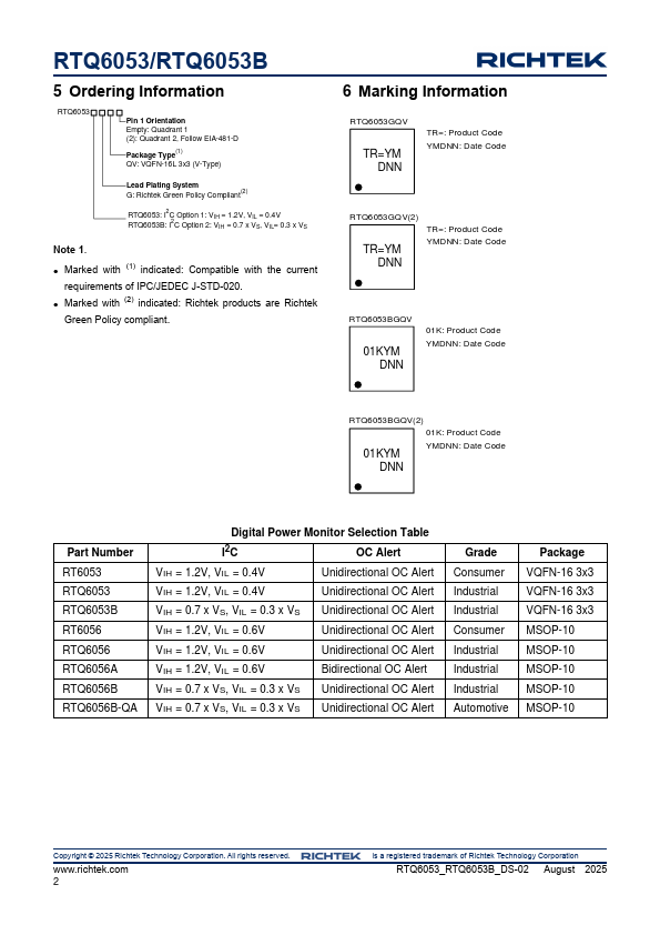
The RTQ6053/RTQ6053B is a high-accuracy currentsense monitor featuring I2C and SMBus interface, providing comprehensive system information by reading both load current and power. The device monitors the voltage drop across sense resistor and the BUS voltage, converting these measurements into current in amperes and power in watts through internal analog-to-digital converter (ADC).

Key Features

  • I2C and SMBus Compatible Interface
  • I2C Input Level
  • RTQ6053: VIH = 1.2V, VIL = 0.4V
  • RTQ6053B: VIH = 0.7 x VS, VIL= 0.3 x VS
  • Bi-Direction Current Sensing, Supporting Both High-Side and Low-Side Configurations
  • 2.7V to 5.5V Operation Supply Voltage Range
  • Monitor Bus Voltage from 0V to 36V
  • High Accuracy: Maximum 0.3% Gain Error
  • Low Offset Voltage: Maximum 25V Offset
  • Current, Bus Voltage and System Power Reporting