Datasheet4U Logo Datasheet4U.com

DA204K Datasheet Switching Diode Silicon Epitaxial Planar

Manufacturer: ROHM

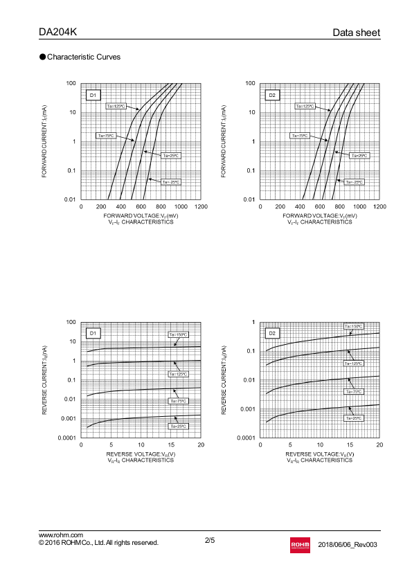
Overview: DA221M/DA221/DA204U/DA204K/DA228U/DA228K/UMR12N Diodes Switching diode DA221M / DA221 / DA204U / DA204K DA228U / DA228K / UMR12N zApplications Bias circuits Protection circuits zExternal dimensions (Unit : mm) DA221M DA221 1.6±0.2 1.0±0.1 0.5±0.05 0∼0.1 0.13±0.05 0.1 0.2 + −0.05 0.2±0.1 0.8±0.1 0.2±0.1 1.2±0.1 0.8±0.1 0.22±0.05 0.40.4 (1) 0.5 0.5 0.1 0.2 + −0.05 0.7±0.1 0.55±0.1 0∼0.1 0.1Min. 0.8±0.1 0∼0.1 (3) 0.32±0.05 1.2±0.1 (All leads have the same dimensions) ROHM : VMD3 EIAJ : JEDEC : ROHM : EMD3 EIAJ : SC-75A JEDEC : SOT-416 zConstruction Silicon epitaxial planar DA204U / DA228U DA204K / DA228K 2.0±0.2 1.3±0.1 0.65 0.65 1.25±0.1 0.9±0.1 0.2 0.7±0.1 2.1±0.1 2.9±0.2 1.9±0.2 0.95 0.95 zCircuit DA221M / DA221 / DA204U / DA204K / DA228U / DA228K UMR12N 0.1 0.4 + −0.05 0.15 −0.06 (All leads have the same dimensions) (All leads have the same dimensions) (3) (2) (1) D2 D1 D1 D2 D2 (5) (6) D1 ROHM : UMD3 EIAJ : SC-70 JEDEC : SOT-323 UMR12N ROHM : SMD3 EIAJ : SC-59 JEDEC : SOT-346 (4) 2.0±0.2 1.3±0.1 0.65 0.65 (3) (2) (1) 0.9±0.1 0.7 1.25±0.1 2.1±0.1 0.1Min. 0∼0.1 (4) (5) (6) +0.1 0.2 − 0.05 0.15±0.05 (All leads have the same dimensions) ROHM : UMD6 EIAJ : SC-88 JEDEC : SOT-363 1/4 0.3∼0.6 +0.1 0.3 − 0 0.15±0.05 0.1 0.2 1.6 + −0.1 2.8±0.2 0∼0.1 K 0.

Datasheet Details

Part number DA204K
Manufacturer ROHM
File Size 74.50 KB
Description Switching diode Silicon epitaxial planar
Datasheet DA204K_Rohm.pdf

Key Features

  • 1) Three types of packages are available. (VMD3, EMD3, UMD3, SMD3) 2) Two diode elements are connected in series (VF × 2) per circuit. (2) 0.8±0.1 +0.1.
  • 0.05 1.6±0.2 0.15±0.05 (All leads have the same dimensions) 0.2 1.1 +.
  • 0.1 +0.1 R12 DA221M/DA221/DA204U/DA204K/DA228U/DA228K/UMR12N Diodes zMarking VMD3 DA221M.
  • K.
  • EMD3 DA221.
  • K.
  • UMD3 DA204U K UMD6 UMR12N.
  • R12.
  • SMD3 DA204K K DA228U BU DA228K BU zAbsolute maximum.

DA204K Distributor