MMBTA44-G Overview
General Purpose Transistor MMBTA44-G (NPN) RoHS Device.
MMBTA44-G Key Features
- High Collector-emitter voltage
- Ultra small surface mount package
- Case: SOT-23 Standard package, molded plastic
- Terminals: Solderable per MIL-STD-750, method 2026
- Mounting position: Any
- Weight: 0.0078 grams(approx.)
- 55 to +150
- Pulse test: pulse width ≤300µs, duty cycle≤2.0%
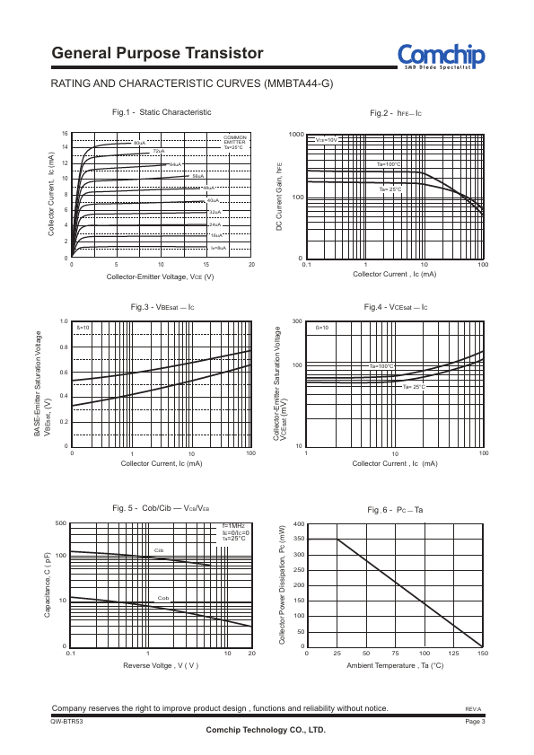
- Static Characteristic
- hFE- IC




